一、实验目的要求:
1、掌握流速、流量、压强等动水力学水力要素的实验量测技术;
2、验证流体定常流的能量方程;
3、通过对动水力学诸多水力现象的实验分析研究,进一步掌握有压管流中动水力学的能量转换特性。
二、实验装置:
本实验的装置如图所示,图中:
1.自循环供水器;2.实验台;3.可控硅无级调速器;4.溢流板;5.稳水孔板;6.恒压水箱;7.测压计;8.滑动测量尺;9.测压管;10.实验管道;11.测压点; 12.毕托管;13.实验流量调节阀
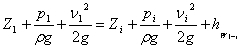
三、实验原理:
在实验管路中沿水流方向取n个过水截面。可以列出进口截面(1)至截面(i)的能量方程式(i=2,3,.....,,n)
选好基准面,从已设置的各截面的测压管中读出
值,测出通过管路的流量,即可计算出截面平均流速ν及动压
,从而可得到各截面测管水头和总水头。
四、实验方法与步骤:
1、熟悉实验设备,分清各测压管与各测压点,毕托管测点的对应关系。
2、打开开关供水,使水箱充水,待水箱溢流后,检查泄水阀关闭时所有测压管水面是否齐平,若不平则进行排气调平(开关几次)。![]()
3、打开阀13,观察测压管水头线和总水头线的变化趋势及位置水头、压强水头之间的相互关系,观察当流量增加或减少时测压管水头的变化情况。
4、调节阀13开度,待流量稳定后,测记各测压管液面读数,同时测记实验流量(与毕托管相连通的是演示用,不必测记读数)。
5、再调节阀13开度1~2次,其中一次阀门开度大到使液面降到标尺最低点为限,按第4步重复测量。
五、实验结果及要求:
1、把有关常数记入表2.1。
2、量测(
)并记入表2.2。
3、计算流速水头和总水头。
点击图片查看详情
| 产品图片 | 产品名称 | 规格型号 | 价格(元) | 产品详情 |
|
流体力学综合实验装置计算机控制数字型 | QY-LT51 | 查看详情 | |
|
烟气流线仪(烟风洞) | QY-YLY | 查看详情 | |
|
双变坡水槽实验装置 | QY-BP | 查看详情 | |
|
台式静水压强实验装置 | QY-JS | 查看详情 | |
|
动量定律实验装置 | QY-DD | 查看详情 | |
|
水静压强仪演示压力传递现象教学装置 | QY-YQ06 | 查看详情 | |
|
自循环明渠水力学多功能实验仪 | QY-BPS | 查看详情 | |
|
流量检测及控制系统实验装置 | QY-HJ28 | 查看详情 | |
|
能量方程仪演示教学装置 | QY-HJ29 | 查看详情 | |
|
测定管道沿程水头损失阻力系数实验装置 | QY-LT101 | 查看详情 | |
|
局部阻力系数测定实验装置 | QY-LT02 | 查看详情 | |
|
油槽流线仪演示教学装置 | QY-LT03 | 查看详情 | |
|
自循环文丘里流量实验装置 | QY-LT06 | 查看详情 | |
|
自循环水击实验水力学演示教学装置 | QY-LT07 | 查看详情 | |
|
流体力学综合实验装置 | QY-LT09 | 查看详情 | |
|
流动图形演示流体流动现象实验装置 | QY-LT10 | 查看详情 | |
|
空化机理及现象实验演示教学装置 | QY-LT11 | 查看详情 | |
|
自循环孔口管嘴测量多种系数实验装置 | QY-LT12 | 查看详情 | |
|
毕托管流速测量实验装置 | QY-LT16 | 查看详情 | |
|
挂壁式自循环流动演示水流现象装置 | QY-LT18 | 查看详情 | |
|
变底坡活动小水槽多种水力现象演示装置 | QY-LT20 | 查看详情 | |
|
管道叉管测压管水头损失实验装置 | QY-LT21 | 查看详情 | |
|
自循环达西测定流体渗透率实验装置 | QY-LT22 | 查看详情 | |
|
自循环虹吸原理及应用实验装置 | QY-HX | 查看详情 | |
|
自循环紊动机理实验演示教学装置 | QY-LT01B | 查看详情 | |
|
静水压力压强传递演示教学装置 | QY-LT23 | 查看详情 | |
|
沿程阻力系数测定实验台 | QY-LT501 | 查看详情 | |
|
局部阻力系数测定实验台 | QY-LT502 | 查看详情 | |
|
自循环伯努利方程仪演示教学装置 | QY-LT503 | 查看详情 | |
|
动量定律实验装置 | QY-DD | 查看详情 |


