污泥过滤脱水—污泥比阻的测定实验
实验目的
(1)通过实验掌握污泥比阻的测定方法;
(2)认识污泥比阻的物理意义,建立不同类型和来源污泥比阻的数量概念;
(3)掌握污泥脱水前调理预处理的概念,用布氏漏斗实验选择混凝剂,改变污泥过滤性能(即比阻值),从技术经济角度,确定污泥的最佳混凝剂投加量。
实验原理
基本概念和计算公式
污泥比阻是表示污泥过滤特性的综合性指标,它的物理意义是:单位质量的污泥在一定压力下过滤时在单位过滤面积上的阻力。求此值的作用是比较不同的污泥(或同一污泥加入不同量的混合剂后)的过滤性能。污泥比阻愈大,过滤性能愈差。过滤时滤液体积 V (m3)与推动力 P(过滤时的压强降 Pa (N/m2)),过滤面积 A(m2),过滤时间 t(s)成正比,而与过滤阻力 R(m/m2),滤液动力粘滞度,(N·s/m2)成反比。
(2-1)
过滤阻力 R(m/m2) 过滤阻力包括滤渣阻力 Rc 和过滤隔层阻力 Rm 两个组成部分,
R=Rc+Rm (2-2)
通常过滤隔层阻力 Rm 要远小于滤渣阻力 Rc;而阻力滤渣 Rc 随滤渣层的厚度增加而增大,过滤速度则减少。由于滤渣层的厚度难以测量,所以用滤液的滤渣浓度求得 C'V/A,因此:
Rc = rC'V/A (2-3))
这里 r 是污泥过滤比阻抗 m/kg;
由于在过滤过程中,滤液体积和过滤阻力都是变化的,以微分形式表达成:
(2-4)
式中:dV/dt=过滤速度,m3 /s;V=滤出液体积,m3;t=过滤时间,s;P=过滤压力,N/m2;
A=过滤面积,m2;C=单位面积滤出液所得滤饼干重,kg/m3;r=污泥过滤比阻抗,m/kg;
Rm=过滤开始时单位过滤面积上过滤介质的阻力,m/m2;μ=滤出液的动力粘滞度,N·s/m2。当过滤压力 P 为的常数时,略去过滤隔层阻力 Rm 的影响则可积分得:
(2-5)
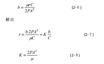
在定压下,在积分界线,时间由 0 到 t,及 0 到 V 积分,t/V 与 V 成直线关系,其斜率
为:
因此,为求得污泥比阻,需要在实验条件下求出b及C。
根据定义 b 是t/V 与V 的斜率,可在定压下(真空度保持不变)通过测定一系列的t~V
数据,对t/V与 V 用线性回归法求得。
C 是单位体积滤液取得的滤饼干重,根据定义求C值的方法,必须量测滤饼的厚度方可求得;
但在实验过程中量测滤饼厚度是很困难的,且不易量准,故改用测滤饼含水比或滤饼固体浓度的
方法求C值:
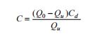
滤饼干重(g/mL)滤液 (2-9)
式中:Q0:污泥量,ml;Qu:滤液量,ml; Cd:滤饼固体浓度,g/mLd
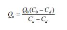
基于液体平衡有: Q0=Qu+Qd
基于固体平衡有: Q0C0=QuCu+QdCd
(2-10)
代入 (2-9)式,简化后得:
(2-11)
式中:C0:污泥固体浓度,g/mL
Cu:滤液固体浓度,g/mL
Qd:滤饼量,ml。
如果使用滤饼含水率测定,
滤饼干量(g/ml)滤液 (2-12)
式中:C0:100g 污泥中的干污泥量;
C:100g 滤饼中的干污泥量。
例如污泥含水比 97.7%,滤饼含水率为 80%
不同污泥比阻和调理预处理
常见不同类型污泥的比阻如表 2-1 所示。
表 2-1 常见不同类型污泥的比阻
污泥种类比阻值(×1012m/kg)
初沉污泥46~61
活性污泥165~283
消化污泥124~139
污泥机械脱水的要求1~4
显然,一般污泥的比阻值都要远高于机械脱水所要求的比阻值。因此,机械脱水前需要采取必要的调理预处理措施降低污泥比阻。投加混凝剂可以改善污泥的脱水性能,使污泥的比阻减小。对于无机混凝剂如FeCl3,Al2(SO4)3等投加量,一般为污泥干重的5~10%;高分子混凝剂如聚丙烯酰胺+碱式氯化铝等,投加量一般为干污泥重的1%。虽然通常增加混凝剂的投入量会使污泥的比阻减小,改善污泥的脱水性能,但需要顾及污泥处理的运行成本,通过投入量的系列优化实验,寻找工艺操作中最适宜的混凝剂配方和用量也是污泥比阻测定实验的重要任务。
实验装置、试剂与方法
进行污泥比阻测定实验需要污泥比阻测试仪器以及相应的污泥浓度测试仪器等,包括(1)基本实验装置(如图2-1);(2)秒表,滤纸;(3)烘箱;(4) 混凝剂如FeCl3、A12(SO4)3;(5)布
氏漏斗。
对于优化混凝剂配方和投入量的系列实验,使用单一布氏漏斗的实验装置显然效率太低,因此可采用一套真空泵、吸滤瓶配多个布氏漏斗的组合式污泥比阻测定装置进行实验如图 2-2 所示。
图 2-1 污泥比阻测定实验装置图
1–真空泵;2–吸滤瓶;3–真空调节阀;4–真空表;5–布式漏斗;6–吸滤垫;7–计量管图 2-2 污泥比阻测定的 4 漏斗装置组合图
污泥比阻测定实验的方法如下:
1.测定污泥的含水率,求出其固体浓度 C0;
2.配制 FeCl3(2g/l)和 Al2(SO4)3(2g/l)混凝剂;
3.加入 FeCl3 混凝剂调节污泥(每组加一种混凝剂量),加量分别为干污泥重的 0%(不加混
凝剂)2%,4%,6%,8%,10%。
4.在布氏漏斗上(直径 65~80mm)放置滤纸,用水润湿,贴紧周底。
5.开动真空泵,调节真空压力,大约比实验压力小 1/3(实验时真空压力采用 266mmHg
或 532mmHg)关掉真空泵。
6.加入100ml需实验的污泥于布氏漏斗中,开动真空泵,调节真空压力至实验压力;达到此压力
后,开始起动秒表,并记下开始时计量管内的滤液V0。
7.间隔一定时间(开始过滤时可每隔10或15秒,滤速减慢后可隔30或60秒)记下计量管内相应的滤
液量。
8.一直过滤至真空破坏,如真空长时间不破坏,则过滤20分钟后即可停止。
9.关闭阀门取下滤饼放入称量瓶内烘干称重。
10.称重后的滤饼于105℃的烘柜内烘干称重。
11.计算出滤饼的含水比,求出单位体积滤液的固体量C;
12.另取加Al2(SO4)3混凝剂的污泥(每组的加量与FeCl3相同)及不加混凝剂的污泥,按实验步骤2~11分别进行实验。如图2-1
虚拟仪器测量界面与使用方法
一套配备了 4 个布氏漏斗的“组合式污泥比阻测定”虚拟仪器装置工作界面如图 2-3 所示,界面中各个控件的功能和具体用法说明如下:
图 2-3 组合式污泥比阻测定(配备 4 套布氏漏斗)虚拟仪器工作界面
1. 真空泵的真空压力控制调节旋钮,顺时针旋转使真空压力加大;
2. 真空压力表,单位为 10kPa,调节真空泵控制旋钮①可观察压力表读数的变化;
3. 实验温度设定,由于不再另外测量滤液的动力黏度,使用同温度下水的黏度进行计算;
4. 吸滤瓶一端连接真空泵,一端连接计量筒,起稳定压力和隔离液体的作用;
5. 滤液计量筒,接纳和对滤出液进行计量;
6. 4 个真空阀分别连接一套布氏漏斗与计量筒装置,任意关闭其中一组,会自动拆除本套布氏漏斗装置,而不影响其他布氏漏斗装置的测量;
7. 布氏漏斗及其密封塞;点击后显示布氏漏斗内部液面⑧,并弹出“过滤设置”窗口;
8. 布氏漏斗内部结构和设定过滤参数:包括污泥来源、混凝剂选择和投量、污泥体积,污泥含水率和布氏漏斗直径;9. 与“过滤设置”弹出窗口同时出现一个“显示过滤参数”按钮,按下按钮弹出“过滤参数”窗口;
10. “过滤参数”窗口包括布氏漏斗中滤纸的“过滤面积 cm2”,根据污泥含水率换算获得的“污泥浓度(g/L)”,“滤饼含水率%”和“滤饼的固体浓度 Cd(g/L)”,以及 “单位体积滤液取得的滤饼干重 C(g/ml)”和当前温度下的“滤液黏度”;
11. 连接吸滤瓶的真空阀总阀,总阀开关用来隔断 4 套装置的吸滤压力,以便实行同步计时;
12. “计时秒表”,大表为秒表,内部数字为分钟;
13. 三个控制按钮,分别用于开始和停止“计时”,“暂停”和“复位”操作;
14. 为了提高虚拟仪器的工作效率,仿真操作时使用“加速”调节旋钮加快时间进程;
15. 每点击一次“纪录”按钮便在“纪录表”中留下一组数据纪录;
16. “数据纪录表”,记载点击“纪录”按钮的时间和每套计量筒中滤出液的实时数据;
17. 操作结束后按下“stop”键返回。
设备特点:
布氏漏斗污泥脱水性能测定实验装置管道采用快装接头,可对过滤液量筒进行快速拆装。
实验目的:
1.掌握用布氏漏斗实验选择混凝剂的方法。
2.掌握污泥的最佳混凝剂投加量。
3.可开实验:污泥比阻测定实验。

