直管阻力与局部阻力实验:
流体阻力产生的根源是流体具有粘性,流动时存在内摩擦。而壁的形状则促使流动的流体内部发生相对运动,为流动阻力的产生提供了条件,流动阻力的大小与流体本身的物理性质、流动状况及壁面的形状等因素有关。流动阻力可分为直管阻力和局部阻力。
流体在流动过程中要消耗能量以克服流动阻力。因此,流动阻力的测定颇为重要。从流程图可知水从贮槽由泵输出,经流量计计量后,再流经管道后回到水槽,循环利用。改变流量并测定直管与管件的相应压差,即可测得流体流动阻力。
b) 直管阻力磨擦系数λ的测定
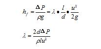
直管阻力是流体流经直管时,由于流体的内摩擦而产生的阻力损失hf 。
对于等直径水平直管段根据两测压点间的柏努利方程.
实验对象部分是由贮水箱,离心泵,不同管径、材质的水管,各种阀门、管件,转子流量计和压差传感器等所组成的。管路部分有三段并联的长直管,分别为用于测定局部阻力系数,光滑管直管阻力系数和粗糙管直管阻力系数。测定局部阻力部分使用不锈钢管,其上装有待测管件(球阀);光滑管直管阻力的测定同样使用内壁光滑的不锈钢管,而粗糙管直管阻力的测定对象为管道内壁装有不锈钢螺旋丝的不锈钢管。
水的流量使用转子流量计测量,管路和管件的阻力采用压差传感器和空气—水倒置∪型管测量。
流体力学综合实验装置计算机控制数字型管路取压采用工业标准均压环方式,取压稳定、准确;采用差压传感器测量,整套系统采用标准工业仪表控制系统,可进行化工原理实验,也是过程自动化及化工检测仪表实验的良好平台。
装置可以学习直管摩擦阻力△Pf、直管摩擦系数λ的测定方法。测定突缩管局部阻力系数ζ与Re的关系;测定阀门局部阻力系数ζ与Re的关系;测定孔板流量计的流量系数C0,了解孔板流量计的原理和特性;测定文丘里流量计的流量系数CV,了解文丘里流量计的原理和特性;测定单级离心泵在固定转速下的性能曲线;测定高阻和低阻管路性能曲线;
装置可模块化拆卸、组装,拓展学生思维和动手能力。管路及涡轮流量计内实验介质流动状态清晰可视;全触摸集成化控制,高稳定数据传输,硬件加密。

