多釜串联返混实验装置是测定带搅拌器的釜式液相反应器中物料返混情况的一种设备,它对加深了解釜式反应器的特性是最好的实验手段之一。通常是在固定搅拌马达转数和液体流量的条件下,加入示踪剂,由各级反应釜流出口测定示踪剂浓度随时间变化曲线,再通过数据处理得以证明返混对釜式反应器的影响,并能通过计算机得到停留时间分布密度函数及多釜串联流动模型的关系。此外,也可通过其它种类反应器进行对比实验,进而更深刻的理解各种反应器的特性。本实验通过管式反应器与三釜串联反应器中停留时间分布的测定,将数据计算结果用多釜串联模型来定量返混程度,从而认识限制返混的措施。
QY-HGGC01多釜串联实验装置
QY-HGGY35管式反应器流动特性测定实验装置
一、实验目的
掌握停留时间分布的测定方法。
了解停留时间分布与多釜串联模型的关系。
了解模型参数n的物理意义及计算方法。
二、实验原理
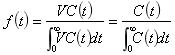
在连续流动的反应器内,不同停留时间的物料之间的混和称为返混。返混程度的大小,一般很难直接测定,通常是利用物料停留时间分布的测定来研究。物料在反应器内的停留时间完全是一个随机过程,须用概率分布方法来定量描述。所用的概率分布函数为停留时间分布密度函数f(t)和停留时间分布函数F(t)。停留时间分布密度函数f(t)的物理意义是:同时进入的N个流体粒子中,停留时间介于t到t+dt间的流体粒子所占的分率
为f(t)dt。停留时间分布函数F(t)物理意义是:流过系统的物料中停留时间小于t的物料的分率。
停留时间分布的测定方法有脉冲法,阶跃法等,常用的是脉冲法。当系统达到稳定后,在系统的入口处瞬间注入一定量Q的示踪物料,同时开始在出口流体中检测示踪物料的浓度变化。
由停留时间分布密度函数的物理含义,可知
(1)
(2)
所以
(3)
由此可见
与示踪剂浓度
成正比。因此,本实验中用水作为连续流动的物料,以饱和KNO3作示踪剂,在反应器出口处检测溶液电导值。在一定范围内,KNO3浓度与电导值成正比,则可用电导值来表达物料的停留时间变化关系。
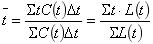
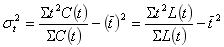
停留时间分布密度函数
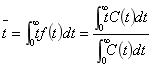
在概率论中有二个特征值,平均停留时间(数学期望)
和方差
。
的表达式为:
(4)
采用离散形式表达,并取相同时间间隔
则:
(5)
的表达式为:
(6)
也用离散形式表达,并取相同
,则:
(7)
若用无因次对比时间
来表示,即
,
无因次方差
。
在测定了一个系统的停留时间分布后,如何来评介其返混程度,则需要用反应器模型来描述,这里采用多釜串联模型。
所谓多釜串联模型是将一个实际反应器中的返混情况作为与若干个全混釜串联时的返混程度等效。这里的若干个全混釜个数n是虚拟值,并不代表反应器个数,n称为模型参数。多釜串联模型假定每个反应器为全混釜,反应器之间无返混,每个全混釜体积相同,则可以推导得到多釜串联反应器的停留时间分布函数关系,并得到无因次方差
与模型参数n存在关系为
(8)
当
,
,为全混釜特征;当
,
,为平推流特征;这里n是模型参数,是个虚拟釜数,并不限于整数。
三、实验装置与流程
实验装置由管式反应器与三釜串联反应器二个系统组成。实验时,水分别从二个转子流量计流入二个系统,稳定后在二个系统的入口处分别快速注入示踪剂,由反应釜出口处电导电极检测示踪剂浓度变化,并由记录仪自动录下来。
1.技术指标
(1)釜式反应器1L, 3个。(2)管式反应器,,1个。
(3)液体(水)流量6—60升/时。(4)数字电导率仪3套。
(5)不锈钢离心泵一台,功率370W,SZD-37型。
2.装置流程图
四、 操作步骤
1. 准备工作
(1) 将饱和KNO3 液体注入标有KNO3的储瓶内,将水注入标有H2O的储瓶内。
(2) 连接好入水管线,打开自来水阀门,使管路充满水。
(3) 检查电极导线连接是否正确。
2. 操作
(1) 打开总电源开关,开启入水阀门,向水槽内注水,将回流阀开到最大,启动水泵,慢慢打开进水转子流量计的阀门(注意!初次通水必须排净管路中的所有气泡,特别是死角处)。通过三通阀选择做多釜串联返混或是管式反应器实验,调节水流量维持在20-30升每小时之间的某值,直至各釜或直管反应器充满水,并能正常地从最后一级流出。
(2) 分别开启釜1、釜2、釜3搅拌马达开关,后再调节马达转速的旋钮,使三釜搅拌速度一致(如选做直管反应器实验,以上步骤略去)。开启电磁阀开关和电导仪总开关,按电导率仪使用说明书分别调节“调零”、调温度和电极常数等。调整完毕,备用。( 电导仪的使用方法见该仪器使用说明书)
(3) 开启计算机电源,在桌面上双击“多釜返混实验”图标,在主画面上按下“实时采集”按钮,调好坐标数值,点击“开始实验”,调节电磁阀开合时间,一般为3-9秒,输入操作员编号,点击“确定”,开始采集数据。
(4) 待测试结束,按下“结束实验”按钮后,按下“保存数据”按钮保存数据文件。
3.停车
(1) 实验完毕,将实验柜上三通阀转至“H2O”位置,将程序中“阀开时间”调到20秒左右,按“开始”按钮,冲洗电磁阀及管路。反复三、四次。否则KNO3会在电磁阀管路内结晶造成堵塞。
(2) 关闭各水阀门、电源开关,打开多釜底或管式反应器底部排水阀,将水排空。
(3) 退出实验程序,关闭计算机。
五 实验数据处理
根据实验结果,可以得到单管与三釜串联反应器的停留时间分布曲线,这里的物理量 - 电导值L对应了示踪剂浓度的变化;用离散化方法,在曲线上相同时间间隔取点,一般可取20个数据点左右,再由公式(5),(7)分别计算出各自的
,及无因次方差
。通过多釜串联模型,利用公式(8)求出相应的模型参数n,随后根据n的数值大小,就可确定单管和三釜系统的两种返混程度大小。
若采用微机数据采集与分析处理系统,则可直接由电导率仪输出信号至计算机,由计算机负责数据采集与分析,在显示器上画出停留时间分布动态曲线图,并在实验结束后自动计算平均停留时间、方差和模型参数。停留时间分布曲线图与相应数据均可方便地保存或打印输出,减少了手工计算的工作量。
六 结果与讨论
(1)计算出单管与三釜系统的平均停留时间
,并与理论值比较,分析偏差原因;
(2)计算模型参数n,讨论二种系统的返混程度大小;
(3)讨论一下如何限制返混或加大返混程度。
七、维护及故障处理
1. 长时间不用该仪器应放置干燥的地方,还应定期进行仪器的开启并维持一定时间操作,以防止仪器受潮。
2. 开启总电源开关,指示灯不亮或分电源开关无电,保险坏或有断路现象应查之。
3. 搅拌马达有异常声音,应检查搅拌轴是否处于合适位置,重新调整后可以达到正常。
4. 开启电磁阀开关,指示灯亮,单从计算机内控制电磁阀不启动,电磁阀坏或控制电路或软件出现问题。
| 产品图片 | 产品名称 | 规格型号 | 价格(元) | 产品详情 |
![]() | 多釜串联返混性能测定实验装置 | QY-HGGY31 | 65000 | 查看详情 |
![]() | 反应精馏实验装置数据采集 | QY-HGGY33 | 58000 | 查看详情 |
![]() | 多功能反应器实验装置数据采集 | QY-HGGY41 | 110000 | 查看详情 |
![]() | 多功能精馏实验装置数据采集软件 | QY-HGGY40 | 84000 | 查看详情 |
![]() | 萃取精馏实验装置数据采集 | QY-HGGY39 | 78000 | 查看详情 |
![]() | 恒沸精馏实验原理及操作装置数据采集 | QY-HGGY32 | 78000 | 查看详情 |
![]() | 管式反应器流动特性测定实验装置 | QY-HGGY30 | 58000 | 查看详情 |
![]() | 乙苯脱氢制苯乙烯实验装置数据采集 | QY-HGGC44 | 110000 | 查看详情 |
![]() | 变压吸附实验装置数据采集 | QY-HGGY29 | 95000 | 查看详情 |
![]() | 二元系统气液平衡数据测定装置 | QY-HGGY34 | 78000 | 查看详情 |
![]() | 釜式和管式反应器流动特性测定实验装置 | QY-HGGY35 | 98000 | 查看详情 |
![]() | 气固相催化剂内扩散有效因子测定装置 | QY-HGGY36 | 115000 | 查看详情 |
![]() | 多功能膜分离工艺实验演示教学装置 | QY-HGGY37 | 86000 | 查看详情 |
![]() | 三元液液平衡数据测定实验装置 | QY-HGGY38 | 32800 | 查看详情 |
![]() | 特殊精馏塔实验装置数据采集 | QY-HGYL25 | 64000 | 查看详情 |
![]() | 气固相固定床催化反应实验装置数据采集 | QY-HGGY42 | 110000 | 查看详情 |
![]() | 超滤膜分离实验装置 | QY-HGGY43 | 45000 | 查看详情 |

















